foto: M. M./ATAImages
Dnevni ski-pas na Kopaoniku košta i do 6.500 dinara, dok sezonska karta prelazi 950 evra, što skijanje u Srbiji čini gotovo nedostupnim prosečnom građaninu.
Tradicionalno tokom zimskog perioda, turisti najviše vole da odlaze na planine da skijaju i upražnjavaju druge aktivnosti.
Kako je Danas nedavno pisao, planine su i ove zime najtraženije, a iako su cene porasle u odnosu na prošlu godinu, to nije sprečilo turiste da pohrle i ovog puta na zimovanje.
Ovih dana na planinama u Srbiji već je primetna gužva i redovi, a posebno na onim gde postoje i ski staze kao što su, pre svega, Kopaonik, pa onda i Zlatibor i Stara planina.
Međutim, cene ski pasova nisu povoljne, a kada se na to još dodaju cene smeštaja, hrane i drugih potrepština, ukupna suma prevazilazi dubinu džepa prosečnog građanina u Srbiji.
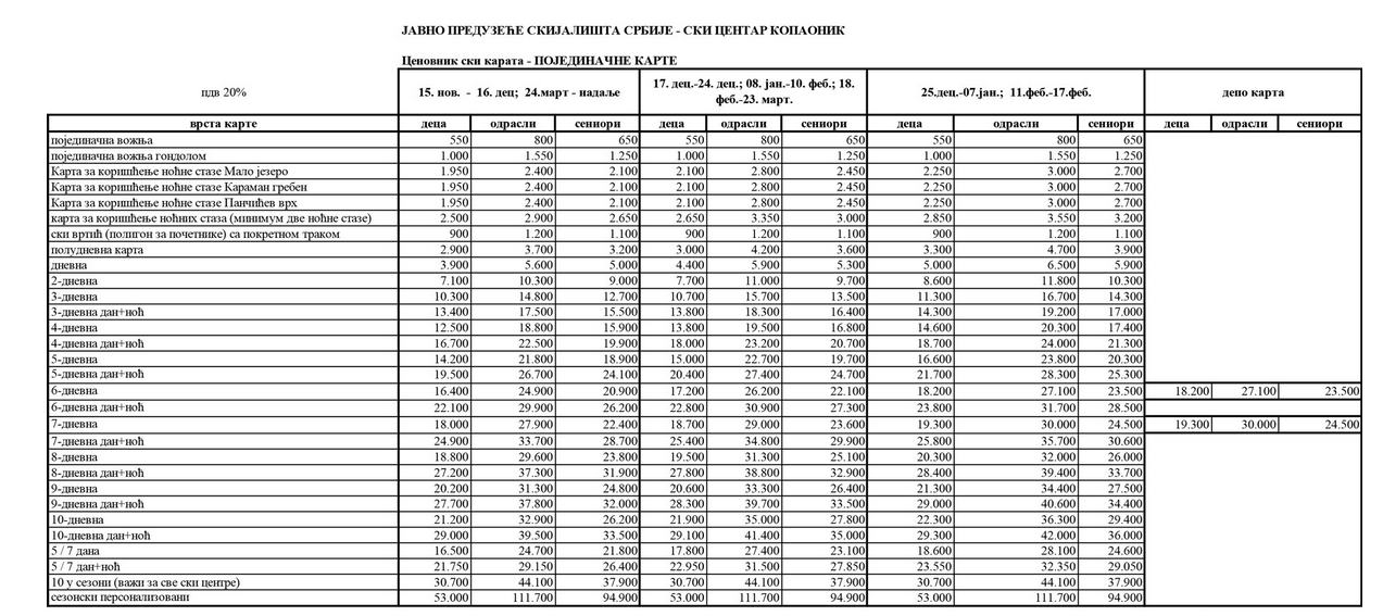
Kopaonik
Kopaonik nudi najveći izbor ski-staza i ima najbolju ponudu, ali je zato i skuplji od drugih planina.
Prema podacima sa sajta Skijališta Srbije, možemo videti da cene variraju u zavisnosti od perioda kada se ide na skijanje, od starosne dobi, kao i od broja dana za koje se kupuje ski-pas.
Tako za ski-pas za odrasle, u periodu od 25. decembra do 7. januara, kao i od 11. do 17. februara, dnevna karta košta 6.500 dinara, dok je za decu ona 5.000 dinara.
Ko odlazi na duže, kartu za pet dana za odrasle moraće da plati 23.800 dinara, a za decu 16.600. Za sedam dana potrebno je platiti 30.000 dinara za odrasle i 19.300 za decu.
Za 10 dana skijanja, potrebno je platiti čak 36.300 dinara, dok za decu cena iznosi 22.300.
Ukoliko ne idete u špicu sezone, u periodu od 8. januara do 10. februara i od 18. februara do 23. marta, možete da prođete nešto jeftinije.
Dnevna karta u tom periodu za odrasle košta 5.900, dok je karta za decu 4.400. Za pet dana potrebno je platiti 22.700 dinara, a za decu 15.000.
Karta za sedam dana košta 29.000 dinara za odrasle, dok je za decu ona 18.700. Za 10 dana odrasli moraju da plate 35.000, a za decu još dodatno 21.900.
Ukoliko kupujete kartu za čitavu sezonu na Kopaoniku, ona ove godine košta 111.700 dinara, što je nešto više od 950 evra. Sezonska karta za decu iznosi 53.000 dinara.

Tornik – Zlatibor
Zlatibor je značajno povoljniji od Kopaonika, pa je od 25. decembra do 7. januara i od 11. do 17. februara cena za pojedinačne dnevne karte za odrasle 3.750 dinara, dok je ona za decu 3.000.
Karta za pet dana košta 12.900 dinara za odrasle i 8.650 dinara za decu, a za sedam dana 16.200 dinara za odrasle i 10.660 za decu. Ako uzimate kartu za 10 dana ona će vas koštati 18.600, odnosno 12.900 za decu.
Ako idete u periodu od 8. januara do 10. debruara ili od 18. februara do 23. marta, tada je cena nešto niža pa je dnevna karta za odrasle 3.600 dinara, dok je za decu 2.850.
Karta za pet dana u tom periodu košta 12.750, a za decu 8.550 dinara. Za sedam dana karta za odrasle košta 15.750 dinara, dok je za decu 10.500. Ako se karte kupuju za 10 dana, one će koštati 18.150 dinara, dok su one za decu 12.750.
Sezonska personalizovana karta na ovoj planini košta 71.100 dinara za odrasle, što je oko 610 evra i 32.600 za decu.

Stara planina
Na ovoj planini, u udarnim terminima od 25. decembra do 7. januara i od 11. do 17. februara, cena dnevne karte za odrasle je 3.750 dinara, dok je za decu 3.000 dinara.
Karta za pet dana košta 12.900 dinara za odrasle, dok je ona za decu 8.650 dinara. Ukoliko se kupuju karte za sedam dana one za odrasle koštaju 16.200, a za decu 10.600 dinara.
Za 10 dana na ovoj planini potrebno je izdvojiti 18.600 dinara za odrasle, dok je za decu potrebno platiti 12.900 dinara.
U periodu od 8. januara do 10. februara i od 18. februara do 23. marta cene su nešto niže.
Tako dnevna karta za odrasle košta 3.600 dinara, dok je ona za decu 2.850. Karta za pet dana košta 12.750 dinara za odrasle, dok je ona za decu 8.550.
Ko se odluči da ide na sedam dana, moraće da izdvoji 15.750 dinara, dok za decu za isti period košta 10.500 dinara. Za one koji se spremaju na skijanje od 10 dana, cena je 18.150 dinara za odrasle, dok je za decu 12.750 dinara.
Personalizovana sezonska karta na Staroj planini košta 71.100 dinara za odrasle, a za decu 32.600.
Ono što je bitno znati, jeste da je za kupovinu karata onlajn moguće ostvariti određene popuste. Takođe, deca ispod šest godina ne plaćaju karte.

Pratite nas na našoj Facebook i Instagram stranici, ali i na X nalogu. Pretplatite se na PDF izdanje lista Danas.


